• 伟德体育主页
  • 加入收藏
  • 中文
    中文
    English
通知公告
  • 科研信息
  • 教学信息
  • 学工信息
  • 就业信息
通知公告
当前位置: 首页 正文

bv1946伟德官网2022年研究生复试成绩公示

作者:冯薇 审核人: 周月书 发布时间: 2022-03-28 点击:

各位考生:

    现将bv1946伟德官网2022年研究生复试成绩公示如下,望考生知悉。

金融学硕士复试成绩

金融硕士复试成绩

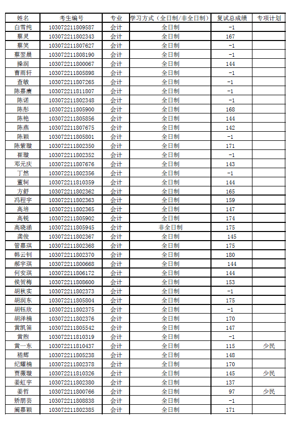
会计学硕士复试成绩

会计硕士复试成绩

公示期:2022年3月28日-30日,联系电话:025-84399826。